By leveraging near-infrared (NIR) spectroscopy, PIMS® detects subtle nanoscale modification when proteins and other biomolecules interact with drugs or other exogenous molecules. This unique approach generates dynamic “fingerprints” of a biological sample's macromolecular structure and signalling activity, offering powerful insights into tissue response and personalized treatment outcomes.

PIMS Technology Overview

Label-Free Analysis:

PIMS® operates without the need for fluorescent or radioactive labels, preserving the native state of the biological sample. It examines protein–protein and protein–solvent interactions within complex, multicomponent solutions such as blood, tissues, and PBMCs.

Water Molecule Resonance as a Probe:

When a drug engages its target, the resulting macromolecular conformational shift alters the water resonance. This modulation provides a measurable, specific fingerprint of the treatment's effect on molecular architecture and associated signalling pathways.

Complementary Integration with NPOT®:

In tandem with the Nematic Protein Organization Technic (NPOT®), PIMS® can map the spatial organization and functional networks of proteins. This combined approach is invaluable for deciphering the mechanisms behind drug response and identifying predictive biomarkers.

How PIMS Works:

Dynamic Fingerprinting:

PIMS® records a baseline spectral profile of a patient's biological sample, then measures the changes after introducing a drug or compound. The resulting spectrum reflects changes in macromolecular conformation and water molecule resonance, indicating the activation (or lack thereof) of specific pharmacological signalling pathways.

Mechanism in Brief:

  • Sample Analysis: Biological samples (e.g., blood, Plasma, Tissues, PBMCs) are challenged with a therapeutic agent.
  • NIR Spectroscopy: When a compound interacts with its target protein, it can induce conformational changes in the protein's structure. These changes can alter the surrounding water molecules network, leading to a shift from high-density to low-density water structures or vice versa. PIMS measures these shifts in water molecule resonance to provide insights into the macromolecular interactions occurring within the sample.
  • Signal Readout: This modulation is captured as a real-time, dynamic fingerprint that differentiates responders from non-responders.

Key Applications

Personalized Medicine & Patient Stratification:

PIMS® is used ex vivo to classify patients as good, partial, or non-responders by challenging their samples with drugs or drug combinations (e.g. lead compound combined with a marketed treatment). This stratification ensures that the most effective therapeutic strategies are selected on a patient-by-patient basis.

Disease profiling:

PIMS® can distinguish between metastatic and non-metastatic patients by comparing the spectra generated with PIMS® with tumour biopsies

Biomarker Development & Mechanistic Studies:

The technology not only predicts treatment efficacy but also guides the identification of molecular networks and biomarkers. This dual readout (macromolecular conformation and water resonance) paves the way for mechanistic insights into drug action and resistance.

Methodology and Workflow

Sample Preparation:

Biological samples are collected from patients prior to therapy. These samples—whether blood, PBMCs, or tissues—are then incubated with the drug candidate or combination of compounds.

Label-Free, Real-Time Detection:

Using NIR spectroscopy, PIMS® detects the minute shifts in water molecule resonance as the drug engages its target, triggering downstream signalling cascades. In the absence of such engagement, no significant spectral change is observed.

Data Integration with NPOT® Platform:

After stratifying patients based on their PIMS® fingerprint, Nematic Protein Organization Technique (NPOT®) is often applied to resolve the specific signalling pathways and protein networks responsible for the observed response patterns. This two-step process provides both a predictive and mechanistic understanding of treatment efficacy.

PIMS workflow for the stratification of patients to any treatments and subsequent mechanistic identification of molecular interactions responsible for drug response and resistance using NPOT platform. Within the signalling pathways in responders and non-responders patients, predictive biomarkers are identified and used to develop companion diagnostics.

PIMS® Advantages:

Non-Invasive, Holistic & Rapid:

The NIR approach allows for quick, non-destructive analysis without extensive sample preparation.

High Specificity:

PIMS® delivers precise molecular fingerprints, enabling accurate patient stratification and predictive diagnostics.

Personalized Insights:

By reflecting individual variations in macromolecular architecture, the technology supports personalized treatment strategies and biomarker discovery.

Why Choose PIMS®?

Our commitment to cutting-edge, label-free biophysical technologies like PIMS® is at the heart of advancing personalized medicine. By providing rapid, reliable insights into how patients respond to therapeutic interventions, PIMS® is transforming drug development and clinical diagnostics—ensuring that the right treatment is delivered to the right patient.

Case Study: Predicting Response to Vedolizumab in Anti-TNF Refractory IBD Patients Using PIMS® Technology.

Breidert, M., Eftekhari, P., Louis, F., Rotoiu, C., Rath, T., Neurath, M. F., & Atreya, R. (2020). Functional Molecular Network Analysis Enables Prediction of Response to Vedolizumab Therapy in Anti-TNF Refractory IBD Patients. Crohn's & colitis 360, 2(2), otaa037. https://doi.org/10.1093/crocol/otaa037

Background

Inflammatory Bowel Disease (IBD), including Crohn's disease and ulcerative colitis, is a chronic condition that significantly impacts patients' quality of life. While biologic therapies like anti-TNF agents have revolutionized treatment, a substantial proportion of patients do not respond to these therapies. Vedolizumab, an anti-integrin antibody, offers an alternative for patients refractory to anti-TNF treatments. However, predicting which patients will respond to vedolizumab remains a challenge, highlighting the need for personalized medicine approaches.

In this case study, we demonstrate how Physiological Intermolecular Modulation Spectroscopy (PIMS®), a patented label-free technology, was used to predict response to vedolizumab in anti-TNF refractory IBD patients with high accuracy. This study, conducted in collaboration with the University of Erlangen-Nürnberg, Germany, and with Takeda Pharmaceuticals Gmbh, showcases the potential of PIMS® in guiding personalized treatment decisions.

Objective

The study aimed to:

  1. Predict clinical response to vedolizumab in anti-TNF refractory IBD patients using PIMS®.
  2. Identify underlying molecular networks associated with response using the Nematic Protein Organization Technic (NPOT®).
Study workflow: PIMS experiments and clinical response prediction was carried out in a completely blinded fashion until clinical evaluation from physicians after 14 week of Vedolizumab treatment.

Methods

Patient Cohort:

20 BD patients (13 Crohn's disease, 7 ulcerative colitis) who had previously failed at least one anti-TNF therapy were enrolled. Blood samples were collected at baseline (week 0) and week 14 of vedolizumab therapy.

PIMS® Analysis:

  • Peripheral blood mononuclear cells (PBMCs) were isolated and analysed using PIMS®. A spectra using PBMCs without Vedolizumab was obtained for each patient, representing the baseline. Then the same PBMCs were incubated with Vedolizumab and a new spectra have been acquired.
  • PIMS® measured changes in water molecule resonance and macromolecular conformation in response to vedolizumab, generating dynamic fingerprints of molecular interactions.
  • The Individual Macromolecular Volume (IMV), resulting from the difference between the signal from the test cell and the blank, was calculated to differentiate responders from non-responders.

Clinical Response Assessment:

Response was defined as a reduction in disease activity scores (Harvey-Bradshaw Index for Crohn's disease and partial Mayo Score for ulcerative colitis) at week 14.

NPOT® Analysis:

Inoviem's NPOT® Platform (www.inoviem.com) was used to identify functional molecular networks in responders by analysing protein-protein interactions induced by Vedolizumab in PBMCs. Proteins were identified using liquid chromatography-tandem mass spectrometry (LC-MS/MS).

Results

PIMS® Predicts Response with High Accuracy:

  • PIMS® accurately predicted clinical response to vedolizumab in 100% of ulcerative colitis patients and 77% of Crohn's disease patients.
  • Overall, PIMS® achieved an 89% positive predictive value (PPV) and an 82% negative predictive value (NPV) for all IBD patients.
3D spectra profiles generated by PIMS® instrument. Individual Macromolecular Volume (IMV) profiles from Patient A and Patient B are generated from the continuous sampling of NIR spectra in patients PBMC homogenates as the temperature rises from −17 to 5°C. Control panels: PIMS® analysis without compound (baseline). + Vedolizumab panels: the same patient's PBMCs incubated with vedolizumab. In non-responder patient A, there is no change in IMV in presence of vedolizumab. Responder patient: Vedolizumab increased considerably the IMV. DMO, differential molecular oscillation; RDD, relative dynamic diffraction.
Patient Group Total Patients Responders
(Week 14)
Non-Responders
(Week 14)
PIMS Accuracy
(Week 0)
Crohn's Disease (CD) 13 7 6 77%
Ulcerative Colitis (UC) 7 4 3 100%
Overall
(IBD Patients)
20 - - PPV: 89%
NPV: 82%

Patient distribution, response rates, and PIMS prediction accuracy for vedolizumab-treated IBD patients.

Mechanistic basis for stratification: NPOT® reveals functional molecular networks.

To identify the molecular basis for stratification, we applied NPOT® platform on clinically-confirmed responders and non-responders PBMCs, challenged with Vedolizumab.

In both responders and non-responders, NPOT® identified the primary target of Vedolizumab, α4β7 integrin (ITGB7).

In responders, NPOT® identified a distinct molecular network involving co-receptors of ITGB7, such as ITGAV and ITGB3, which play a role in vedolizumab's mechanism of action. Additionally, NPOT® detected proteins linked to the drug's activity, including PF4 and AHSG.

Non-responders lacked this functional network, explaining their lack of response to therapy.

Key Biomarkers Identified:

Platelet Factor 4 (PF4) and Vitamin D-binding protein (GC) emerged as potential biomarkers for predicting vedolizumab response, offering insights into the molecular basis of treatment efficacy.

NPOT® Analysis workflow and enriched signalling pathways in stratified cohorts. NPOT® was performed after IBD patient stratification by PIMS®. Vedolizumab-induced interactomes from three responders and three non-responders were isolated, and their protein content was sequenced using the LC-MS/MS platform. Inoviem's InOpera® bioinformatics software was then used to enrich the resulting signalling pathways, revealing two distinct pathways within the stratified patient groups.

Discussion

This study highlights the power of PIMS® in personalized medicine for IBD. By analysing molecular interactions in patient blood samples, PIMS® can stratify patients into responders and non-responders before initiating therapy, enabling more informed treatment decisions. The integration of NPOT® further elucidated the underlying molecular networks, providing mechanistic insights into vedolizumab mode of action.

The identification of PF4 and GC as potential biomarkers opens new avenues for developing companion diagnostics, which could further refine patient selection for vedolizumab therapy.

Low vitamin D levels have been linked to a higher risk of vedolizumab treatment failure in patients with inflammatory bowel disease (IBD). It has been showed that patients with low vitamin D were more likely to experience poor response to the drug, both during the initial treatment phase and over the long term. This suggests that vitamin D levels could serve as a useful marker to predict which patients are more likely to benefit from vedolizumab (Gubatan et al. 2021; Abraham et al. 2023).

Conclusion

PIMS® technology offers a non-invasive, rapid, and highly accurate method for predicting response to vedolizumab in anti-TNF refractory IBD patients. By combining PIMS® with NPOT®, clinicians can not only predict treatment outcomes but also gain insights into the molecular mechanisms driving response, paving the way for truly personalized medicine in IBD.

Why This Matters

  • For Patients: PIMS® ensures that patients receive the most effective treatment from the start, reducing unnecessary side effects and improving quality of life.
  • For Clinicians: PIMS® provides a reliable tool for treatment decision-making, enhancing the precision of IBD management.
  • For Researchers: The integration of PIMS® and NPOT® offers a powerful platform for biomarker discovery and mechanistic studies in drug development.

Case Study 2: Precision Oncology & Metastatic Profiling in Colorectal Cancer (CRC)

Reference: Quartier, A., et al. (2025). Molecular Resonance Quantification and Label-Free Interactome Characterization of Total Proteome of Tumor Specimens Decipher Responder and Success Predictors in Colorectal Cancer Patients Treated With Panitumumab. - Cancer Medicine. https://doi.org/10.1002/cam4.71387

Background

Colorectal cancer (CRC) remains a leading cause of global cancer-related mortality, with metastatic disease presenting a significant barrier to effective therapy. While targeted therapies like Panitumumab (an anti-EGFR monoclonal antibody) offer clinical benefits, the lack of reliable predictive biomarkers hinders precise patient selection and monitoring. Traditional omics identify the presence of molecules but fail to describe the “endotype”—the functional status of target engagement and signaling within the native tissue. This study demonstrates how PIMS® and NPOT® (Inoviem Scientific platform) overcome these limitations by providing a functional readout of drug response in actual patient tumor specimens.

Objective

The study aimed to:

  1. Differentiate Disease States: Use PIMS® to distinguish metastatic from non-metastatic CRC patients without a-priori clinical information.
  2. Predict Therapeutic Response: Identify responders to Panitumumab by detecting functional target engagement (EGFR).
  3. Map Functional Networks: Characterize the EGFR-centered interactome using the Inoviem Scientific platform NPOT® to uncover the molecular mechanisms of response and resistance.

Study Workflow

  • Cohort: 21 tumor resection samples from 20 CRC patients (12 primary tumors, 9 intrahepatic metastases).
  • Blind Classification: Cryostored tumor material was blinded and subjected to PIMS® analysis to separate metastatic vs. non-metastatic samples.
  • Drug Challenge: Post-unblinding, tumors were challenged with 1 µg of Panitumumab in PIMS® to identify responders.
  • Mechanistic Validation: Selected metastatic and non-metastatic tumors were analyzed via NPOT® and label-free quantitative proteomics.

Methods

  • PIMS® Analysis: Total tumor homogenates (1 µg protein) were analyzed using the PIMSQ8 platform. The platform recorded light absorption as a function of wavelength and temperature (-20°C to 20°C) to calculate Individual Resonance Volumes (RV).
  • Inoviem Scientific NPOT® Analysis: Heteroassemblies were formed by challenging tumor extracts with Panitumumab in a large pH gradient (5–9) to isolate the target and its native interactome without detergents.
  • Proteomics: Protein identification was performed using nanoLC-MS/MS (timsTOF Pro) and interpreted via Mascot and InOPERA® (Inoviem Scientific proprietary Bio informatics software).

Results: PIMS® Predicts Metastasis and Target Engagement

High Accuracy Classification: PIMS® identified metastatic from non-metastatic tumors with 82% accuracy, yielding a Positive Predictive Value (PPV) of 78% and a Negative Predictive Value (NPV) of 82%. Resonance Volume Signature: Metastatic tumors exhibited significantly higher resonance volumes (2948–5094) compared to non-metastatic tumors (1076–2759). This reflects biomechanical and structural alterations in the metastatic niche.

Target Engagement Signature: A specific molecular signature of EGFR engagement by Panitumumab was observed exclusively in metastatic patients (red arrows), distinguishing them from primary CRC patients who did not show the same resonance shift.

Mechanistic Basis: NPOT® (Inoviem Scientific) Unveils the EGFR-Panitumumab Network

  • Metastatic Interactome: Inoviem scientific platform, NPOT®, identified the functional EGFR-Panitumumab interactome exclusively in metastatic tumors. This interactome comprised 34 proteins, whereas the non-metastatic cohort shared only 10 basic proteins.
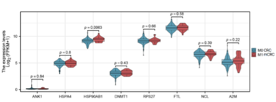
  • Enriched Signaling: In metastatic responders, the core network centered on EGFR was linked to proteins involved in cell adhesion (CD44, FN1), metabolic adaptation (GAPDH, ENO1), and stress response (HSPA4, HSP90AB1).

Key Biomarkers Identified: Spotlight on HSP90AB1

The integration of PIMS® stratification and quantitative proteomics identified HSP90AB1 as a definitive prognostic biomarker.

  • Significance: HSP90AB1 is a central chaperone that stabilizes oncogenic proteins, including EGFR.
  • Validation: It was significantly elevated in metastatic samples compared to non-metastatic ones (p=0.0063), confirming its role in driving metastatic progression and therapy resistance.

Discussion & Conclusion

This study proves that PIMS® is a transformative tool for precision oncology. By shifting from mere “correlation” (found in traditional omics) to causality (functional target engagement), PIMS® enables clinicians to identify the right therapeutic window for patients. PIMS® technology offers a rapid, label-free method to stratify CRC patients and predict Panitumumab efficacy. By revealing the dynamic “Endotype” of a tumor, it provides the clinical certainty needed to reduce trial attrition and deliver personalized medicine in oncology.

Why This Matters: The PIMS® Advantage

The integration of these findings proves that PIMS® is not just an assay; it is a clinical de-risking engine. By capturing the Physiological Intermolecular Modulation of water resonance, we provide:

  • Individualized Fingerprints: Patient-specific profiles that reveal unique response signatures missing from traditional liquid biopsies.
  • Enhanced Predictive Power: The ability to select the right cohort for Phase II/III trials, directly addressing the <10% success rate in current drug development.
  • Native State Integrity: A label-free, non-destructive process that preserves the biological “Truth” of the sample.

Strategic Outlook

PIMS Technology is transforming the paradigm of drug development. From Immunology (Vedolizumab) to Oncology (Panitumumab), our platform provides the functional evidence required to secure regulatory success and deliver personalized therapy to every patient.

Interested in Learning More?

Discuss how functional stratification could support your programmes.